Causal Inference
Causal Inference (6) - Multivariate Causal Model (2)
Multivariate Causal Model (2) 이번 글에서는 저번에 이어 노드가 여러개인 multivariate causal model에 대해 계속 다루어보도록 할텐데, 그래피컬 모델과 관련된 중요한 개념중 하나인 Markov property, equivalence, blanket 등 개념에 대해 다루어보도록 할 것이다. Markov Property Markov property는...

Multivariate Causal Model (2)
이번 글에서는 저번에 이어 노드가 여러개인 multivariate causal model에 대해 계속 다루어보도록 할텐데, 그래피컬 모델과 관련된 중요한 개념중 하나인 Markov property, equivalence, blanket 등 개념에 대해 다루어보도록 할 것이다.
Markov Property
Markov property는 그래피컬 모델을 다룰 때 사용되는 가정으로, 어떤 그래프가 Markovian이라는 것은 그래프 내에 특정한 독립성이 존재한다는 것을 의미한다. Markov property는 다음과 같이 정의된다.
Definition
Directed Acyclic Graph(DAG) 와 이에 대한 joint distribution P_\bf X가 주어진다고 하자. 이때 distribution P_\bf X에 다음과 같은 세 종류의 markov property가 에 대해 존재한다.
1. Global Markov Property
모든 disjoint한 노드집합 에 대해
\bf A\bot_\cal G\bf B\;\vert \;C \Rightarrow A\bot B\;\vert \;C를 만족하는 것을 의미한다. 이때 좌변은 d-separation(아래 정의 참고)을 의미한다.(우변은 conditional independence를 의미)
d-separation : DAG 의 disoint한 부분 노드집합 에 대해 의 노드와 의 노드를 잇는 모든 경로가 집합 의 노드에 의해 가로막혀있다면(blocked) 이를 에 의해 d-separated 되었다고 한다.
\bf A\bot_\cal G \bf B\vert E이때 d-separation의 경우는 다음과 같은 세 가지 중 하나 이상의 형태로 나타난다.
- pipe : or where
- fork : where
- v-structure : where
2. Local Markov Property
변수(노드) 가 해당 변수의 parent node x_k\in\bf PA_\it i 가 주어졌을 때(조건부), non-descendant 노드들과 독립임을 의미한다.
3. Markov Factorization Property
joint distribution P_\bf X가 밀도함수 를 가질 때,
p(\mathbf x) = p(x_1,\ldots,x_d) = \prod_{j=1}^d p(x_j\vert \bf pa\it_j^\cal G\rm)을 만족하는 것을 의미한다. 이때 우변 곱의 각 인수를 conditional distribution P_{X_j\vert \bf PA_\it j^\cal G} 의 causal Markov kernel 이라고 정의한다.
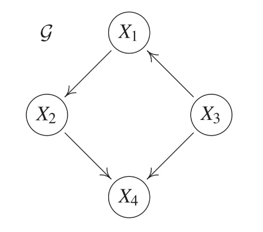
위 세개의 Markov property들은 얼핏 보면 별개의 것처럼 보이지만, 실제로는 결합확률밀도()가 주어지기만 한다면 모두 동치관계에 있다. 아래 그림과 같은 그래프 의 예시를 살펴보자.(자세한 증명 생략)
-
우선 그래프 관계에 의해
이 성립한다. 따라서, joint distribution 는 graph 에 대해 위 global/local markov property를 만족한다.
-
또한, 그래프 노드간 관계를 분석해보면
이 성립하는데, 이는 joint distribution이 위 그래프에 대한 Markov Factorization Property를 만족함을 의미한다.
추후 다룰 예정이지만, 일반적으로 SCM에 수반되는 결합분포는 해당 SCM의 그래프에 대해 Markovian이다. 그런데, 위 markov factorization처럼 노드 간 조건부 독립성은 각 그래프에 대해 일대일대응되지 않는다. 오히려 서로 다른 그래프임에도, 동일한 조건부 독립성을 나타낼 수 있다. 따라서 다음과 같이 동치관계를 정립할 필요가 있다.
Markov Equivalence
DAG 에 대해 Markovian인 (결합)분포들의 모임을 라고 하자. 이때 두 DAG 가 를 만족한다면 이를 Markov equivalent하다고 정의한다. 여타 동치관계와 마찬가지로, 동치인 DAG들의 집합을 Markov equivalence class라고 한다. 하지만 앞서 말한것 처럼 두 그래프가 동치인지 아닌지 확인하기는 쉽지 않은데, 이에 대해 다음과 같은 보조정리가 존재한다.
두 DAG 가 마코프 동치일 필요충분조건은 두 그래프가 같은 뼈대(skeleton)와 immortality를 가지는 것이다.
이때, 어떤 DAG의 세 노드 가 immortality(v-structure라고도 한다)를 형성한다는 것은 연결구조 를 만족하면서 가 직접 연결되어있지 않는 것을 의미한다.
예를 들어 위 두 그래프는 같은 뼈대와 유일한 immortality()를 가지므로 Markov 동치이다.
Markov Blanket
Markov Blanket은 반응변수 Y의 값을 예측하는 과정에서 어떤 다른 변수들을 포함해야 하는지와 관련된 개념이다. DAG 가 주어지고 에서의 반응변수(target node)를 라고 두자. 이때 의 Markov blanket은 다음을 만족하는 집합 중 가장 작은 집합이다.
만약 joint distribution P_\bf X가 에 대해 Markovian이라면(마코프 성질을 만족한다면), 위 조건은
가 된다.
위 Markov blanket의 개념을 직관적으로 이해하면, 관심의 대상이 되는 노드()를 둘러싼 덮개()이며, 이 덮개를 제외한 나머지 노드들은 Y에 실질적으로 영향을 미치지 않는 노드임을 의미한다고 보면 된다(조건부 독립). 특히, DAG에 대해서는 타겟 노드 의 Markov blanket은 부모 노드, 자식 노드와 자식노드의 부모노드의 합집합으로 구성된다.
M= \rm PA_\rm Y\cup CH_Y \cup PA_{CH_Y}References
- Shanmugam, R. (2018). Elements of causal inference: Foundations and learning algorithms. Journal of Statistical Computation and Simulation, 88(16), 3248–3248. https://doi.org/10.1080/00949655.2018.1505197